Đề thi học kì 1 lớp 9 môn Toán trường THCS Lê Anh Xuân năm 2015 – 2016

cach-doi-mat-khau-cf-2
4/5 - (1 vote)

Download đề thi học kì 1 lớp 9 môn Toán năm học 2015 – 2016 của trường THCS Lê Anh Xuân – Tân Phú. Đề thi có kèm theo đáp án làm tài liệu giúp các em lớp 9 luyện giải đề môn Toán.

PHÒNG GD – ĐT QUẬN TÂN PHÚ

TRƯỜNG THCS LÊ ANH XUÂN

ĐỀ KIỂM TRA GIỮA HỌC KÌ 1 NĂM HỌC 2015 – 2016

MÔN TOÁN LỚP 9

Thời gian làm bài: 60 phút (không kể thời gian phát đề)

Đề 1:

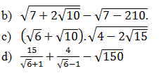
Bài 1: (4,0 điểm) Thực hiện tính (rút gọn)

a) 2√45 – 3√72 -1/2 √320 + 6 √18

de-thi-hoc-ki-1-lop-9-mon-toan-truong-thcs-le-anh-xuan-nam-2015-2016-1

Bài 2: (2,0 điểm) Giải các phương trình sau:

de-thi-hoc-ki-1-lop-9-mon-toan-truong-thcs-le-anh-xuan-nam-2015-2016-2

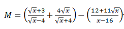
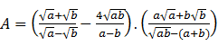
Bài3: (0,5 điểm) Rút gọn biểu thức sau:

de-thi-hoc-ki-1-lop-9-mon-toan-truong-thcs-le-anh-xuan-nam-2015-2016-3

với a ≥ 0; b ≥ 0; a ≠ b

Bài 4: (3,5 điểm) Cho tam ABC vuông tại A, có AB = 27cm, AC = 36cm.

a) Tính số đo các góc nhọn trong tam giác ABC? (Làm trong kết quả tới độ)

b) Vẽ đường thẳng vuông góc với đoạn thẳng BC tại điểm B, đường thẳng này cắt tia CA tại giao điểm D. Tính chiều dài AD?

c) Vẽ điểm E’ đối xứng với A qua đường thẳng BC. Không tính độ dài đoạn thẳng AE, chứng minh rằng:

de-thi-hoc-ki-1-lop-9-mon-toan-truong-thcs-le-anh-xuan-nam-2015-2016-4

d) Trên nửa mặt phẳng có bờ BC không chứa điểm A, lấy điểm m sao cho tam giác MBC vuông cân tại M. Chứng minh AM là tia phân giác của góc BAC?

ĐỀ 2

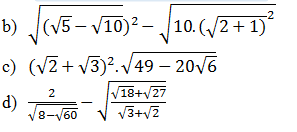
Bài 1: (4,0 điểm) Tính

a) 5√48 – 4√27 – 2√75 + √147

de-thi-hoc-ki-1-lop-9-mon-toan-truong-thcs-le-anh-xuan-nam-2015-2016-5

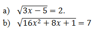
Bài 2: (2,0 điểm) Giải các phương trình sau:

de-thi-hoc-ki-1-lop-9-mon-toan-truong-thcs-le-anh-xuan-nam-2015-2016-6

Bài 3: (0,5 điểm) Rút gọn biểu thức sau:

de-thi-hoc-ki-1-lop-9-mon-toan-truong-thcs-le-anh-xuan-nam-2015-2016-7

với x ≥ 0; x ≠ 16

Bài 4: (3,5 điểm) Cho tam ABC vuông tại A, có AB = 7cm, BC = 25cm.

a) Giải tam giác ABC? (Làm trong kết quả tới độ)

b) Kẻ đường cao AD. Tính AD, DC

c) Gọi Q là trung điểm của AB. Kẻ QI ⊥ BC (I thuộc BC).

Chứng minh:

de-thi-hoc-ki-1-lop-9-mon-toan-truong-thcs-le-anh-xuan-nam-2015-2016-8

Leave a Reply

Your email address will not be published. Required fields are marked *