Đề thi học kì 1 lớp 9 môn Toán trường THCS Kim Xá năm 2015 – 2016

4.5/5 - (2 votes)

Đề thi học kì 1 lớp 9 môn Toán trường THCS Kim Xá năm học 2015 – 2016, đề thi có kèm theo hướng dẫn đáp án giúp các em luyện giải đề, củng cố kiến thức môn Toán để chuẩn bị tốt nhất cho kì thi học kì 1 tới đây.

ĐỀ THI GIỮA HỌC KÌ I

NĂM HỌC 2015 – 2016

MÔN: TOÁN LỚP 9
Thời gian làm bài: 60 phút

ĐỀ BÀI:

Bài 1: (1đ) Tìm điều kiện của x để các căn thức sau có nghĩa.

de-thi-hoc-ki-1-lop-9-mon-toan-truong-thcs-kim-xa-nam-2015-2016-1

Bài 2: (3đ) Rút gọn biểu thức:

de-thi-hoc-ki-1-lop-9-mon-toan-truong-thcs-kim-xa-nam-2015-2016-2

Bài 3: (1đ) Giải phương trình

de-thi-hoc-ki-1-lop-9-mon-toan-truong-thcs-kim-xa-nam-2015-2016-3

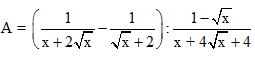
Bài 4: (2đ): Cho biểu thức

de-thi-hoc-ki-1-lop-9-mon-toan-truong-thcs-kim-xa-nam-2015-2016-4

(với x > 0 ; x # 1)

a) Rút gọn A

b) Tìm x để A = 5/3

Bài 5 (3đ): Cho tam giác ABC vuông tại A có đường cao AH. Độ dài BH = 4 cm và HC = 6 cm.

a) Tính độ dài các đoạn AH, AB, AC.

b) Gọi M là trung điểm của AC. Tính số đo góc AMB (làm tròn đến độ).

c) Kẻ AK vuông góc với BM (K ∈ BM). Chứng minh: ΔBKC đồng dạng với ΔBHM.

Đáp án đề thi giữa kì 1 lớp 9 môn Toán

de-thi-hoc-ki-1-lop-9-mon-toan-truong-thcs-kim-xa-nam-2015-2016-5

Leave a Reply

Your email address will not be published. Required fields are marked *