Tổng hợp một số bài tập công thức lượng giác lớp 10 hay. Các bài tập sẽ giúp các em học sinh luyện giải bài tập về công thức lượng giác, hàm số lượng giác và phương trình lượng giác.
Phần 1: Hàm số lượng giác
A. Kiến thức cần nhớ
1. Các hằng đẳng thức cơ bản

2. Giá trị của các hàm lượng giác cung liên quan đặc biệt
a) Hai cung đối nhau
cos(-x) = cosx
sin(-x) = -sinx
tan(-x) = -tanx
cot(-x) = -cotx
b) Hai cung bù nhau
sin(π – x) = sinx
cos(π – x) = -cosx
tan(π – x) = -tanx
cot(π – x) = -cotx
c) Hai cung khác nhau 2π
sin(x + 2π) = sin x
cos(x + 2π) = cosx
tan(x + 2π) = tanx
cot(x + 2π) = cotx
d) Hai cung khác nhau π
sin(x + π) = -sinx
cos(x + π) = -cosx
tan(x + π) = tanx
cot(x + π) = cotx
e) Hai cung phụ nhau

B. Bài tập
1. Tìm các giá trị của để biểu thức sau đạt giá trị nhỏ nhất. Tìm giá trị nhỏ nhất đó.

2. Xét dấu của các biểu thức sau:
a) sin1230 – sin 1320 b) cot3040 – cot3160
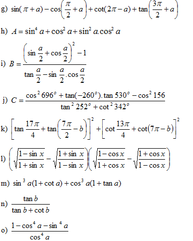
3. Rút gọn các biểu thức sau:


